cos30度(cos30度是哪个边比哪个边)
大家好!本文和大家分享一道1995年高考数学真题。这是一道三角求值的题目,看起来很简单,但是让如今的高中生做这道题却差点全军覆没了。本文和大家分享这道题的4种常见解法。
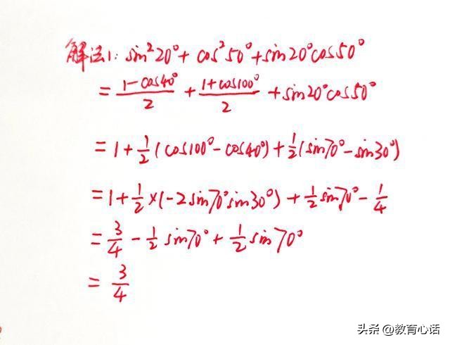
解法一:
所求的式子中出现了二次的形式,因此我们可以用降幂公式进行处理,当然如果记不住降幂公式,那么可以用二倍角的余弦公式进行变换。实际上,降幂公式就可以从二倍角余弦公式推导而得。
用降幂公式变换后,原式=(1-cos40°)/2 (1 cos100°)/2 sin20°cos50°=1 (cos100°-cos40°) sin20°cos50°。接下来的处理对于现在的学生来说就是一个难点了,因为当年的学生可以用积化和差和差化积公式来处理。
根据积化和差和差化积公式,cos100°-cos40°=-2sin70°sin30°=-sin70°,sin20°cos50°=[sin70° sin(-30°)]/2=(sin70°-sin30°)/2=sin70°/2-1/4。代入前面的式子,即可得到所求式子的值。
解法二:
看了所求式子的形式,很多同学第一眼的感觉就是像一个完全平方式,所以也可以用配方法求解。先将原式配方,得到(sin20° cos50°)^2-sin20°cos50°。接下来再用积化和差和差化积公式进行变换,即可得到所求值。
解法三:
令m=(sin20°)^2 (cos50°)^2 sin20°cos50°,n=(cos20°)^2 (sin50°)^2 cos20°sin50°,然后两式相加,即可得到m n=2 sin20°cos50° cos20°sin50°,再用两角和的正弦公式,得到m n=2 sin70°。两式相减,得到m-n=(sin20°)^2-(cos20°)^2 (cos50°)^2-(sin50°)^2 sin20°cos50°-cos20°sin50°,根据二倍角余弦公式和两角差的正弦公式,得到m-n=-cos40° cos100° sin(-30°),再用和差化积公式,得到m-n=-sin70°-1/2。然后就可以求出m的值。
解法四:
前面三个解法都用到了积化和差和差化积公式,但是这组公式已经从现在的教材中删除了,如果没有这组公式,这道题求解确实难度就会更大了。
先配方,得到(sin20° cos50°)^2-sin20°cos50°,再由诱导公式得到(sin20° sin40°)^2-sin20°sin40°。然后再将20°=30°-10°,40°=30° 10°代入即可求出答案。
如果不知道积化和差和差化积公式,这道题的求解确实比较难。当然,解题的关键还是角的变换。
